Chứng nhận nhóm điện, điện tử theo Tiêu chuẩn Quốc gia TCVN 7883-8 : 2008
Ngày 10/08/2024 - 08:08Lời nói đầu
TCVN 7883-8 : 2008 thay thế TCVN 4159 : 1985;
TCVN 7883-8 : 2008 hoàn toàn tương đương với IEC 60255-8: 1990;
TCVN 7883-8 : 2008 do Ban kỹ thuật tiêu chuẩn TCVN/TC/E1 Máy điện và khí cụ điện biên soạn, Tổng cục Tiêu chuẩn Đo lường Chất lượng đề nghị, Bộ Khoa học và Công nghệ công bố.
Lời giới thiệu
Bộ tiêu chuẩn IEC 60255 còn có các tiêu chuẩn sau:
1) IEC 60255-3: 1989, Electrical relays – Part 3: Single input energizing quantily measuring relays with dependent or independent time
2) IEC 60255-5: 2000, Eletrical Relays – Part 5: Insulation coordination for measuring relays and protection equipment – Requirements and tests
3) IEC 60255-6: 1998, Electrical relays – Part 6: Measuring relays and protection equipment IEC 60255-11: 1979, Electrical relays – Part 1: Interruptions to and alternating component (ripple) in d.c. auxiliary energizing quantily of measuring relays
4) IEC 60255-12: 1980, Electrical relays – Part 12: Directional relays and power relays with two input energizing quantities
5) IEC 6025-13: 1980, Electrical relays – Part 13: Biased (percentage) differentical relays
6) IEC 60255-16: 1982, Electrical relays – Part 16: Impedance measuring relays
7) IEC 60255-21-1: 1988: Electrical relays – Part 21: Vibration, shock, bump and seismic tests on measuring relays and protection equipment – Section One: Vibration tests (sinusoidal)
8) IEC 60255-21-2: 1988, Electrical relays – Part 21: Vibration, shock, bump and seismic tests on measuring relays and protection equipment – Section Two: Shock and bump test
9) IEC 60255-21-3: 1993, Electrical relays – Part 21: Vibration, shock, bump and seismic tests on measuring relays and protection equipment – Section 3: Seismic tests
10) IEC 60255-22-1: 2007, Measuring relays and protection equipment – Part 22-1: Electrical disturbance tests - 1 MHz burst immunity tests
11) IEC 60255-22-2: 1996, Electrical relays – Part 22: Electrical disturbance tests for measuring relays and protection equipment – Section 2: Electrostatic discharge tests
12) IEC 60255-22-3: 2007, Measuring relays and protection equipment – Part 22-3: Electrical disturbance tests – Radiated electromagnetic field immunity
13) IEC 60255-22-4: 2002, Electrical relays – Part 22-4: Electrical disturbance tests for measuring relays and protection equipment – Electrical fast transient/burst immunity test
14) IEC 60255-22-5: 2002, Electrical relays – Part 22-5: Electrical disturbance tests for measuring relays and protection equipment – Surge immunity test
15) IEC 60255-22-6: 2001, Electrical relays – Part 22-6: Electrical disturbance tests for measuring relays and protection equipment – Immunity to conduted disturbances induced by radio frequency fields
16) IEC 60255-22-7: 2003, Electrical relays – Part 22-7: Electrical disturbance tests for measuring relays and protection equipment - Power frequency immunity tests
17) IEC 60255-24: 2001, Electrical relays – Part 24: Common format for transient data exchange (COMTRADE) for power systems
18) IEC 60255-25: 2000, Electrical relays – Part 25: Electromagnetic emission tests for measuring relays and protection equipment
19) IEC 60255-26: 2004, Electrical relays – Part 26: Electromagnetic compatibility requirements for measuring relays and protection equipment 20) IEC 60255-27: 2005, Measuring relays and protection equipment – Part 27: Product safety requirements
RƠLE ĐIỆN – PHẦN 8 : RƠLE ĐIỆN NHIỆT
QUY ĐỊNH CHUNG
Phạm vi áp dụng và đối tượng
Tiêu chuẩn này áp dụng cho rơle đo điện phụ thuộc vào thời gian quy định để bảo vệ thiết bị không bị hỏng do nhiệt độ khi có dòng điện chạy qua bằng cách đo dòng điện chạy trong thiết bị bảo vệ. Tiêu chuẩn này đề cập đến các loại rơle dưới đây:
a) rơle điện nhiệt có chức năng nhớ toàn bộ các điều kiện tải-dòng điện xảy ra trước các điều kiện làm ngắt rơle;
b) rơle điện có chức năng nhớ một phần, tức là chỉ nhớ các điều kiện dòng điện quá tải.
Tiêu chuẩn này cũng đề cập đến các yêu cầu cụ thể đối với rơle điện nhiệt sử dụng để bảo vệ động cơ. Mục đích của tiêu chuẩn này nhằm nêu các yêu cầu cụ thể đối với rơle điện nhiệt. Tiêu chuẩn này cần kết hợp với các tiêu chuẩn ở mức cao hơn trong bộ tiêu chuẩn IEC 60255.
Định nghĩa
Đối với các thuật ngữ chung không đề cập trong tiêu chuẩn này, xem bộ tiêu chuẩn IEC 60050 Từ vựng kỹ thuật điện quốc tế. Trong tiêu chuẩn này, áp dụng các định nghĩa sau:
Đường cong nóng (hot curve) Đối với rơle điện nhiệt có chức năng nhớ toàn bộ, đường cong đặc tính thể hiện quan hệ giữa thời gian tác động quy định và dòng điện, có tính đến ảnh hưởng nhiệt của dòng điện tải ổn định trước khi xảy ra quá tải.
Đường cong lạnh (cold curve) Đối với rơle điện nhiệt, đường cong đặc tính thể hiện quan hệ giữa thời gian tác động quy định và dòng điện, với rơle ở điều kiện chuẩn và ổn định và có dòng điện không tải chạy qua trước khi xảy ra quá tải.
Đại lượng hiệu chỉnh (Đại lượng bù) (correcting quantity (compensating quantity)) Đại lượng sửa đổi các đặc tính quy định của rơle theo cách quy định. Các đại lượng này có thể là nhiệt độ dầu, v.v…
Dòng điện cơ bản (basic current) Giá trị giới hạn quy định của dòng điện tại đó rơle không được tác động.
CHÚ THÍCH: Dòng điện cơ bản đóng vai trò là dòng điện chuẩn để định nghĩa các đặc tính rơle điện nhiệt. Giá trị đặt của rơle điện nhiệt chính là giá trị dòng điện này.
Hằng số k (constant k) Hằng số khi nhân với dòng điện cơ bản sẽ cho giá trị dòng điện mà độ chính xác của dòng điện tác động tối thiểu dựa vào.
Tỷ số tải trước (previous load ratio) Tỷ số giữa dòng điện tải trước khi xảy ra quá tải và dòng điện cơ bản trong các điều kiện quy định.
CÁC YÊU CẦU
Giá trị tiêu chuẩn
Đường cong đặc tính
Đặc tính thời gian-dòng điện có thể được nêu ra bằng công thức hoặc bằng phương pháp đồ thị. Công thức dùng cho mô hình nhiệt độ đơn giản được cho trong 3.1.1 và 3.1.2. Các đường cong đặc tính khác là được phép và cần được nhà chế tạo công bố. Xem ví dụ trong phụ lục A.
CHÚ THÍCH 1: Trong thực tế, ví dụ như trong thử nghiệm, sẽ thuận tiện nếu đưa ra đường cong đặc tính là sự kết hợp giữa các giá trị dòng điện và thời gian.
CHÚ THÍCH 2: Hằng số thời gian được sử dụng trong công thức cần như quy định trong tiêu chuẩn quốc gia hoặc được nhà chế tạo công bố.
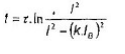
Đường cong lạnh Đường cong tổng quát dùng cho rơle điện nhiệt, dựa vào hiệu ứng gia nhiệt và hằng số thời gian, được cho theo công thức sau:
.png)
trong đó:
t thời gian tác động; hằng số thời gian;
IB dòng điện cơ bản;
k hằng số;
I dòng điện qua rơle










